A STEVIA FELNŐTT EMBEREKRE GYAKOROLT HATÁSA GLÜKÓZ-TOLERANCIA TEKINTETÉBEN
A STEVIA REBAUDIANA (JÁZMINPAKÓCA) FELNŐTT EMBEREKRE GYAKOROLT HATÁSA A GLÜKÓZ-TOLERANCIA TEKINTETÉBEN
R.Curi, M. Alvarez, R.B. Bazotte, L.M. Botion, J.L. Godoy és A. Bracht
Biokémiai Gyógyszertári Osztály, Maringá Egyetem, 87100 Maringá, PR, Brazilia
Fizikai és Biófizikai Tanszék, Orvosbiológiai Tudományok Intézete, Sao Paulo Egyetem, 05508 Sao Paulo, SP, Brazilia
A Stevia Rebaudiana levelek vizes kivonatának hatását vizsgálták 16 önkéntes alanyon a glükóz tolerancia tekintetében. A vizes kivonat 5 grammját adták be az alanyoknak 6 óránként 3 napon keresztül, és glükóz tolerancia teszteket hajtottak végre a kivonat beadása előtt és után. Egy második – hat alanyból álló csoport – szintén vizsgálat alá került,s így szájon át víz alapú arabinózt vettek be annak érdekében, hogy kiiktassák a lehetséges stresszhatásokat. A Stevia Rebaudiana kivonata növelte a glükóz-toleranciát, és jelentős mértékben csökkentette a plazma glükóz szintjét az alanyok szervezetében az éhgyomorra végzett és a későbbi vizsgálatok közben is.
Stevia Rebaudiana egy Braziliában és Paraguayban őshonos cserje, ami a fészkesvirágúak családjába tartozik (1). A levelek száraz súlyának 5%-a szteviozid, ami egy – a szacharózhoz képest – 300-szor édesebb szénhidrát (1). Az elmúlt években egyre fontosabbá váltak a kalóriamentes édesítők Japánban és Braziliában. A szteviozid mellett a Stevia Rebaudiana levelei számos – szerkezetileg hasonló – vegyületet tartalmaznak, mint a rebaudiozid A (2% a száraz súlyban), rebaudiozid B, szteviobiozid, szteviol (2). Néhány vegyület ezek közül édes.
Számos tanulmány igazolta a Stevia fiziológiai és gyógyászati hatásait. Állítások szerint ennek a növénynek szívműködést befolyásoló (3), fogamzásgátló (4) és hipoglikémiás tulajdonságai vannak. Utóbbit ezek közül először Miguel (5) írta le a diabéteszes pácienseiről készített tanulmányában, és hasonló hatást figyeltek meg az alloxán-diabéteszes nyulak körében is (6). Ezzel ellentétben Suzuki (7) kimutatta, hogy a máj glikogéntartalma, csakúgy, mint a plazma glükóz szintje csökkent az olyan patkányokban, melyek táplálékát 10%-os őrölt Stevia-levéllel egészítették ki. Jelen kutatásunkban egy önkénteseken végzett szisztematikus tanulmányt mutatunk be a Stevia Rebaudiana hipoglikémiás hatásairól.
Glükóz tolerancia teszteket (GTT) végeztek felnőtt alanyokon a Stevia-levelek víz alapú kivonatának bevitele előtt és után (20g/nap) 3 napon keresztül. A Stevia Rebaudiana levelek a Maringá Egyetem kísérleti farmjáról érkeztek, és a vizes kivonatot úgy készítették el, hogy a leveleket forrásban levő vízbe tették 20 percre.
A kísérletben 22 egészséges felnőtt önkéntes vett részt – nők és férfiak egyaránt – akik nem álltak gyógykezelés alatt és betegség jelét sem mutatták. Az első glükóz tolerancia tesztnek 16 önkéntes lett alávetve, akik a későbbiekben 5 grammnak megfelelő kivonatot vettek be szájon át 6 órás intervallumokban.
Az első dózis 21 órával a kezdő GTT után és 2 órával a második GTT előtt került beadásra. Minden egyes páciens 65 gramm száraz levélkivonatot kapott 13 dózisban. Egy 6 főből álló kontrollcsoport szintén 13 dózisban kapott 250mg-os arabinózt ugyanilyen időközönként annak érdekében, hogy kiértékeljék a glükóz tolerancia lehetséges időbeni hatásait. Az arabinózt a Stevia-kivonatban található magas aránya miatt használták.
A kisérleti periódus alatt az alanyok normál diétát követtek, nem szenvedtek anorexiában, testsúlyuk nem változott. A glükóz tolerancia tesztek az Amerikai Diabétesz Egyesület statisztikai bizottság ajánlásának megfelelően készültek el. Az alanyok 100gr glükózt kaptak szájon át, éhgyomorra.
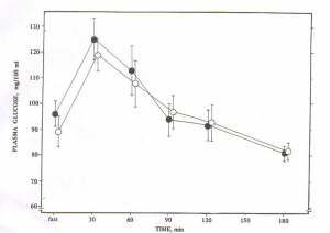
Az ütőérből 2ml vért vettek azért, hogy meghatározhassák a vércukorszintet az O-toluidine módszer (8) keretein belül a táplálékbevitel előtt és 30-60-90-120 és 180 perccel utána. Az esetleges cukorvizelést glükózteszt papírokkal vizsgálták. A Stevia kezelés után mért plazmaglükóz szint jelentősen alacsonyabb volt minden mérési időperiódusban (1. ábra). A maximális különbség egybeesett a legmagasabb GTT alatt észlelt glükózszinttel, ami 30 percnél mutatkozott. Az első 90 perc alatt csak egyetlen önkéntes lépte túl a cukorvizelés küszöbértékét, ami a Stevia-kezelést követően teljesen megszűnt.
A 2.ábra azon egyének eredményeit mutatja, akik Stevia-kivonat helyett 250mg arabinózt kaptak. Az első GTT (kontroll) és az arabinóz bevitele után mért GTT között (P>0,05) különbség nem volt tapasztalható.
A jelen vizsgálatban résztvevő önkéntesek kapott eredményei megegyeznek a diabéteszes páciensek és az alloxán-diabéteszes nyulak eredményeivel. Minden vizsgált periódusban Stevia kezelés után a glikémia csökkent, beleeértve az éhgyomorra végzett vizsgálatot is. Számos tanulmány azért készült, hogy meghatározzák a bevont mechanizmusokat a Stevia vizes kivonatának fiziológiai hatásaiban.

1.ábra – a Stevia rebaudiana levelének kivonata a vércukor szint tekintetében.
Fenti adatok kinyerése 16 önkéntes alany bevonásával készült, Kontroll, Stevia kezelés után
A stevia hatása a glúkóz toleranciára

2.ábra – az arabinóz bevitel hatásai (1 g/nap) a glükóz tolerancia teszt tekintetében.
Fenti adatok kinyerése 6 önkénes alany bevonásával készült,Kontroll, arabinóz kezelés után
A növény leveleinek szteviozid, izoszteviol, szteviobiozid és szteviol származékai gátolják az oxidatív foszforillációt az izolált patkánymáj mitokondriumban olyan mechanizmusok által, amelyek nukleotid-csere gátlót tartalmaznak (9), szétkapcsolva ezzel a légzést (10), továbbá gátolják a NADH-oxidázt, az L-glutamát dehidrogenázt és a szukcinát-hidrogenázt (11,12).
Ezek a hatások serkenthetik a glükóz hasznosítást és a laktóztermelés növekedését (13). Ebben a tekintetben úgy viselkednek, mint az actrktiligenin, egy erős inhibítora az adenin nukleotid cserének és az oxidatív foszforillációnak a mitokondriumban (9,14).
Kimutatásra került, hogy a Stevia származékok erősen gátolják a vese tubulusok és a máj glükoneogenezisét (15). Valójában azonban az ép sejtekben az atraktilozid gátolja a glükoneogenezist és a légzést (16), mint ahogy ezt állították a szteviolról és annak analógjairól (13).
Általában elfogadott tény, hogy a glükoneogenezis gátlása hipoglikémiához vezethet. Ily módon néhány anyag, ami gátolja a glükoneogenezist, gyógyítja a diabéteszt. Ez igaz a fenforminra (17) a 3-mercapto pikolinátra (18) és az atraktilozidra is(14). Néhány kísérletben kimutatták, hogy ezek a gyógyszerek elősegíthetik a hipoglikémiás görcsök kialakulását. Lehetséges, hogy a Stevia-kivonat a mitokondriális légzési arány növelésével és a glükoneogenezis útvonalának gátlásával hipoglikémiát okoz, mindazonáltal érdemes lenne felismerni a Stevia Rebaudiana esetleges befolyását az inzulin kiválasztására vagy a perifériás hatására.
Köszönetnyilvántás:
A szerzők köszönettel tartoznak Dr. Philip Newsholmenak és Dr. John Challisnak( Biokémiai részleg- Oxford University) javaslataikért és a kézirat lektorálásáért.

